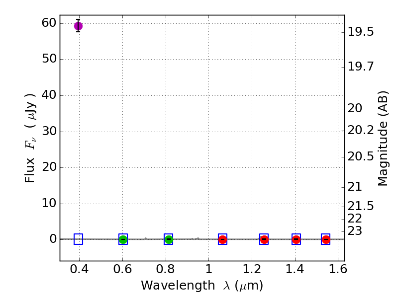
RXS0603+42-N ACS+IR detection object #5586

Color images and BPZ results
Catalog: 5586.cat
Black segments are analyzed here.   Roll mouse over color images to view segments.
Best viewed in a wide browser window (1200 pixels or more).   Download SED & P(z) plots to view larger versions.
In P(z) plots: Yellow lines mark the cluster redshift z = 0.228,  

Object #5586   x,y = (2920, 2131)   RA, Dec = (06:03:11.880, 42:15:25.56) = (90.79950, 42.25710)   BPZ = 0.905 [0.104--4.206]   type = 10.90 (SB11_A_0_l - SB3_B10)   stellarity = 0.96   chisq2 = 287.10   ODDS = 0.19   z_cluster = 0.228