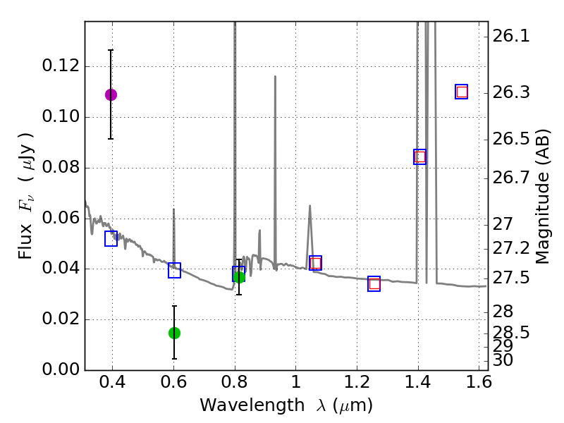
RXS0603+42-N ACS+IR detection object #5563

Color images and BPZ results
Catalog: 5563.cat
Black segments are analyzed here.   Roll mouse over color images to view segments.
Best viewed in a wide browser window (1200 pixels or more).   Download SED & P(z) plots to view larger versions.
In P(z) plots: Yellow lines mark the cluster redshift z = 0.228,  

Object #5563   x,y = (4055, 2541)   RA, Dec = (06:03:05.736, 42:15:50.04) = (90.77390, 42.26390)   BPZ = 1.152 [0.642--2.289]   type = 11.00 (SB11_A_0_l)   stellarity = 0.36   chisq2 = 12.64   ODDS = 0.15   z_cluster = 0.228