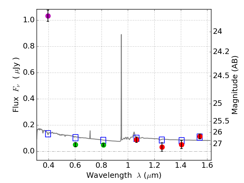
RXS0603+42-N ACS+IR detection object #5520

Color images and BPZ results
Catalog: 5520.cat
Black segments are analyzed here.   Roll mouse over color images to view segments.
Best viewed in a wide browser window (1200 pixels or more).   Download SED & P(z) plots to view larger versions.
In P(z) plots: Yellow lines mark the cluster redshift z = 0.228,  

Object #5520   x,y = (3017, 2051)   RA, Dec = (06:03:11.352, 42:15:20.88) = (90.79730, 42.25580)   BPZ = 1.551 [1.373--1.925]   type = 11.00 (SB11_A_0_l)   stellarity = 0.99   chisq2 = 109.00   ODDS = 0.62   z_cluster = 0.228