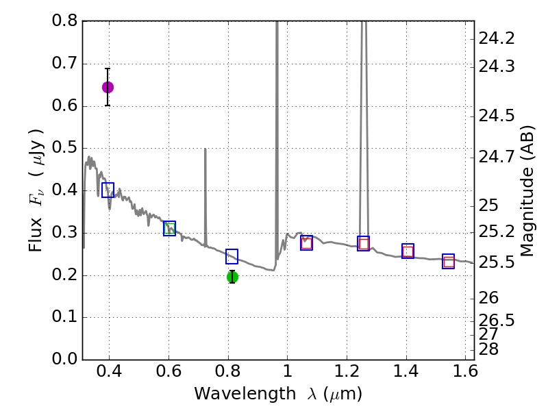
RXS0603+42-N ACS+IR detection object #5172

Color images and BPZ results
Catalog: 5172.cat
Black segments are analyzed here.   Roll mouse over color images to view segments.
Best viewed in a wide browser window (1200 pixels or more).   Download SED & P(z) plots to view larger versions.
In P(z) plots: Yellow lines mark the cluster redshift z = 0.228,  

Object #5172   x,y = (4624, 2189)   RA, Dec = (06:03:02.664, 42:15:29.16) = (90.76110, 42.25810)   BPZ = 1.593 [1.405--1.906]   type = 11.00 (SB11_A_0_l)   stellarity = 0.73   chisq2 = 24.85   ODDS = 0.59   z_cluster = 0.228