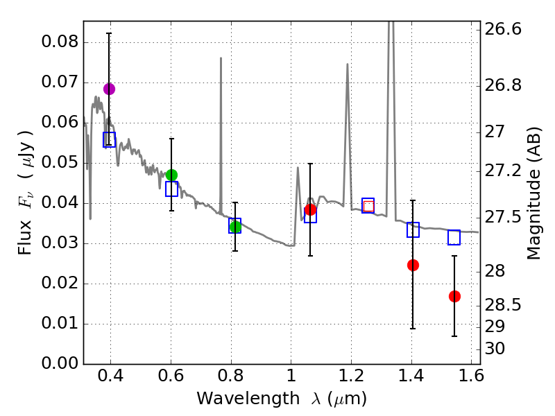
RXS0603+42-N ACS+IR detection object #5128

Color images and BPZ results
Catalog: 5128.cat
Black segments are analyzed here.   Roll mouse over color images to view segments.
Best viewed in a wide browser window (1200 pixels or more).   Download SED & P(z) plots to view larger versions.
In P(z) plots: Yellow lines mark the cluster redshift z = 0.228,  

Object #5128   x,y = (2179, 2210)   RA, Dec = (06:03:15.888, 42:15:30.24) = (90.81620, 42.25840)   BPZ = 1.736 [0.315--2.604]   type = 11.00 (SB11_A_0_l)   stellarity = 0.05   chisq2 = 1.02   ODDS = 0.33   z_cluster = 0.228