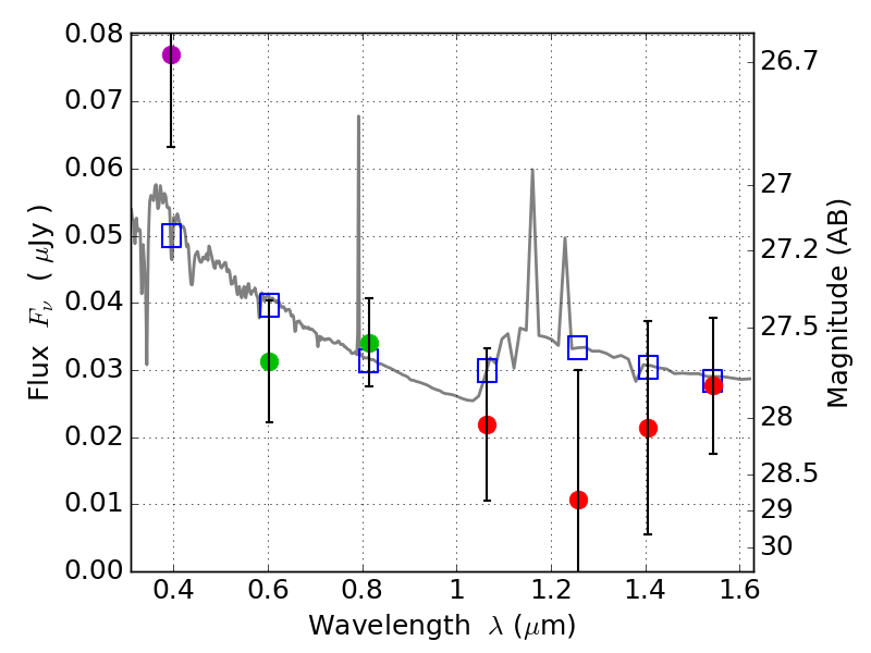
RXS0603+42-N ACS+IR detection object #3903

Color images and BPZ results
Catalog: 3903.cat
Black segments are analyzed here.   Roll mouse over color images to view segments.
Best viewed in a wide browser window (1200 pixels or more).   Download SED & P(z) plots to view larger versions.
In P(z) plots: Yellow lines mark the cluster redshift z = 0.228,  

Object #3903   x,y = (2393, 2658)   RA, Dec = (06:03:14.736, 42:15:57.24) = (90.81140, 42.26590)   BPZ = 1.829 [0.497--2.572]   type = 11.00 (SB11_A_0_l)   stellarity = 0.36   chisq2 = 1.65   ODDS = 0.22   z_cluster = 0.228