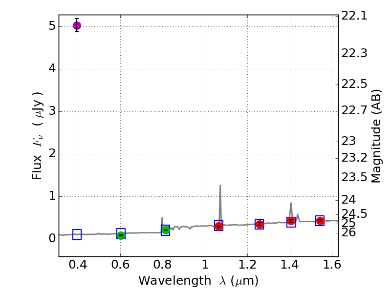
RXS0603+42-N ACS+IR detection object #3892

Color images and BPZ results
Catalog: 3892.cat
Black segments are analyzed here.   Roll mouse over color images to view segments.
Best viewed in a wide browser window (1200 pixels or more).   Download SED & P(z) plots to view larger versions.
In P(z) plots: Yellow lines mark the cluster redshift z = 0.228,  

Object #3892   x,y = (1768, 2640)   RA, Dec = (06:03:18.096, 42:15:56.16) = (90.82540, 42.26560)   BPZ = 1.142 [0.993--1.359]   type = 8.70 (SB2_B10 - SB1_B10)   stellarity = 1.00   chisq2 = 252.80   ODDS = 0.75   z_cluster = 0.228