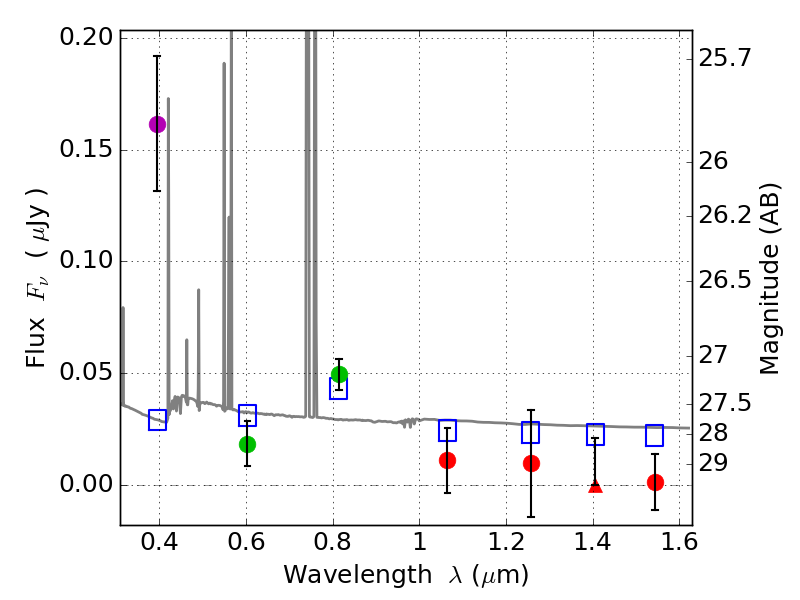
RXS0603+42-N ACS+IR detection object #3624

Color images and BPZ results
Catalog: 3624.cat
Black segments are analyzed here.   Roll mouse over color images to view segments.
Best viewed in a wide browser window (1200 pixels or more).   Download SED & P(z) plots to view larger versions.
In P(z) plots: Yellow lines mark the cluster redshift z = 0.228,  

Object #3624   x,y = (1827, 2754)   RA, Dec = (06:03:17.784, 42:16:03.00) = (90.82410, 42.26750)   BPZ = 0.127 [0.083--2.257]   type = 11.00 (SB11_A_0_l)   stellarity = 0.05   chisq2 = 6.54   ODDS = 0.37   z_cluster = 0.228