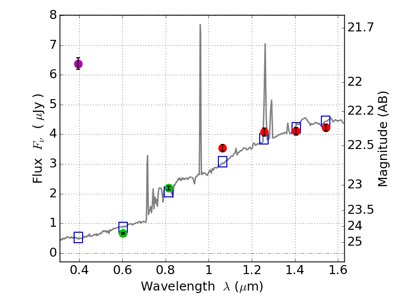
RXS0603+42-N ACS+IR detection object #3492

Color images and BPZ results
Catalog: 3492.cat
Black segments are analyzed here.   Roll mouse over color images to view segments.
Best viewed in a wide browser window (1200 pixels or more).   Download SED & P(z) plots to view larger versions.
In P(z) plots: Yellow lines mark the cluster redshift z = 0.228,  

Object #3492   x,y = (1819, 2784)   RA, Dec = (06:03:17.832, 42:16:04.80) = (90.82430, 42.26800)   BPZ = 0.919 [0.900--0.980]   type = 7.50 (SB1_B10 - Scd_B10)   stellarity = 0.99   chisq2 = 69.98   ODDS = 0.99   z_cluster = 0.228