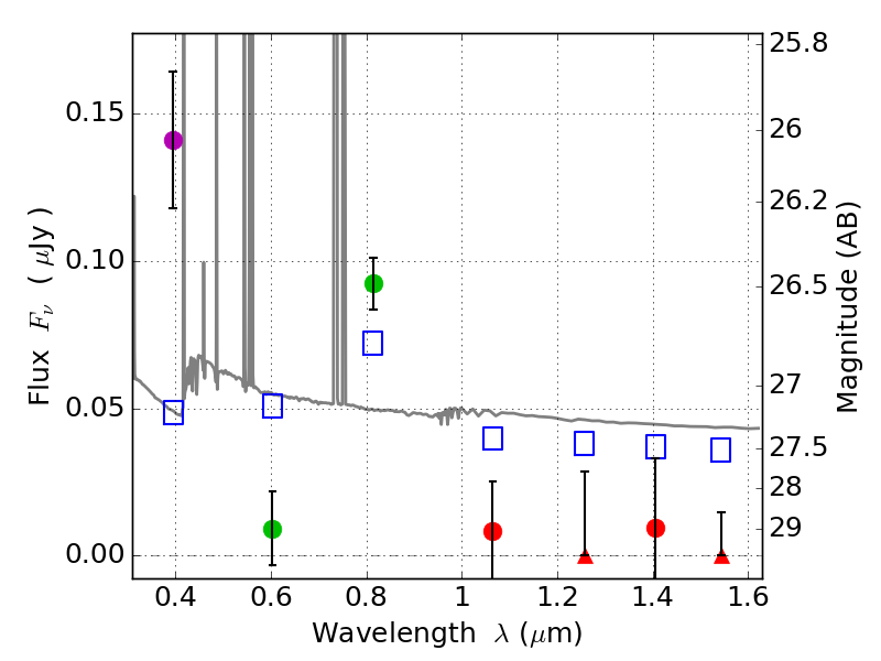
RXS0603+42-N ACS+IR detection object #3093

Color images and BPZ results
Catalog: 3093.cat
Black segments are analyzed here.   Roll mouse over color images to view segments.
Best viewed in a wide browser window (1200 pixels or more).   Download SED & P(z) plots to view larger versions.
In P(z) plots: Yellow lines mark the cluster redshift z = 0.228,  

Object #3093   x,y = (1973, 2904)   RA, Dec = (06:03:16.992, 42:16:12.00) = (90.82080, 42.27000)   BPZ = 0.116 [0.086--0.283]   type = 11.00 (SB11_A_0_l)   stellarity = 0.14   chisq2 = 10.15   ODDS = 0.76   z_cluster = 0.228