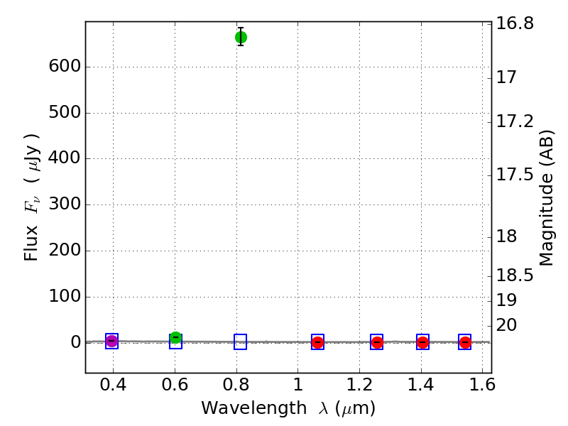
RXS0603+42-N ACS+IR detection object #3048

Color images and BPZ results
Catalog: 3048.cat
Black segments are analyzed here.   Roll mouse over color images to view segments.
Best viewed in a wide browser window (1200 pixels or more).   Download SED & P(z) plots to view larger versions.
In P(z) plots: Yellow lines mark the cluster redshift z = 0.228,  

Object #3048   x,y = (2837, 3044)   RA, Dec = (06:03:12.336, 42:16:20.28) = (90.80140, 42.27230)   BPZ = 2.207 [0.013--2.244]   type = 11.00 (SB11_A_0_l)   stellarity = 1.00   chisq2 = 418.80   ODDS = 0.92   z_cluster = 0.228