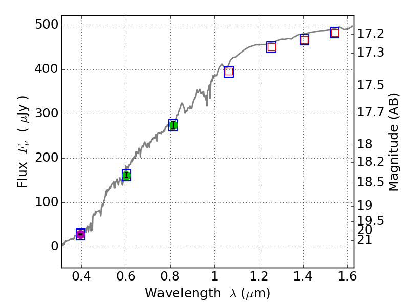
RXS0603+42-N ACS+IR detection object #2558

Color images and BPZ results
Catalog: 2558.cat
Black segments are analyzed here.   Roll mouse over color images to view segments.
Best viewed in a wide browser window (1200 pixels or more).   Download SED & P(z) plots to view larger versions.
In P(z) plots: Yellow lines mark the cluster redshift z = 0.228,  

Object #2558   x,y = (2461, 2971)   RA, Dec = (06:03:14.352, 42:16:15.96) = (90.80980, 42.27110)   BPZ = 0.127 [0.070--0.174]   type = 3.50 (Ell4_A_0 - Ell5_A_0)   stellarity = 0.03   chisq2 = 0.00   ODDS = 0.92   z_cluster = 0.228