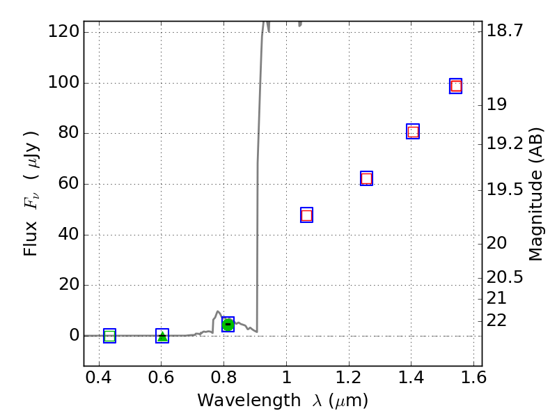
RXC2211-03 ACS+IR detection object #5201

Color images and BPZ results
Catalog: 5201.cat
Black segments are analyzed here.   Roll mouse over color images to view segments.
Best viewed in a wide browser window (1200 pixels or more).   Download SED & P(z) plots to view larger versions.
In P(z) plots: Yellow lines mark the cluster redshift z = 0.397,  

Object #5201   x,y = (906, 987)   RA, Dec = (22:11:52.104, -3:51:16.56) = (332.96710, -3.85460)   BPZ = 6.475 [6.226--8.297]   type = 6.00 (Sbc_B10)   chisq2 = 0.00   ODDS = 0.53   z_cluster = 0.397