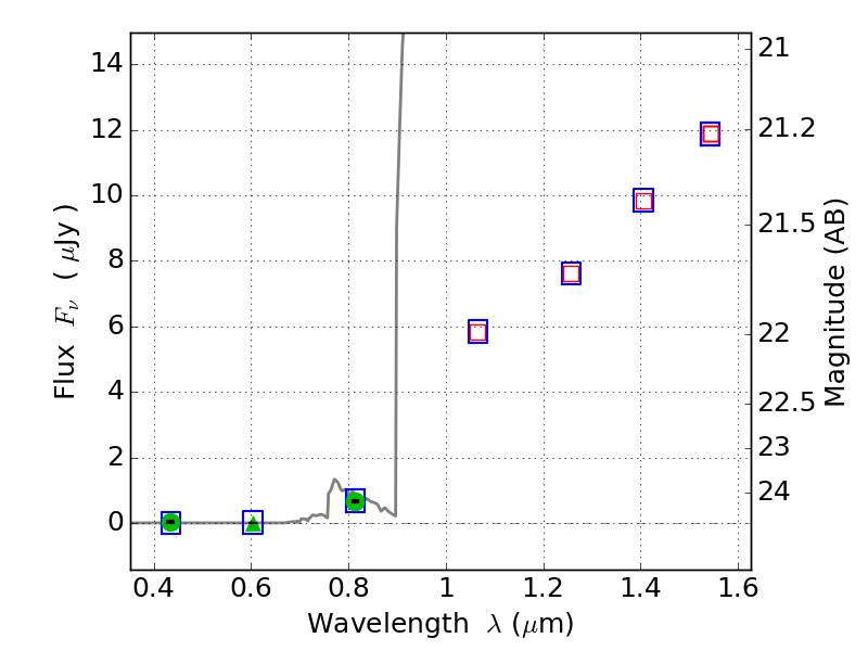
RXC2211-03 ACS+IR detection object #4519

Color images and BPZ results
Catalog: 4519.cat
Black segments are analyzed here.   Roll mouse over color images to view segments.
Best viewed in a wide browser window (1200 pixels or more).   Download SED & P(z) plots to view larger versions.
In P(z) plots: Yellow lines mark the cluster redshift z = 0.397,  

Object #4519   x,y = (831, 1427)   RA, Dec = (22:11:52.392, -3:50:50.28) = (332.96830, -3.84730)   BPZ = 6.384 [5.977--8.985]   type = 6.00 (Sbc_B10)   chisq2 = 0.00   ODDS = 0.40   z_cluster = 0.397