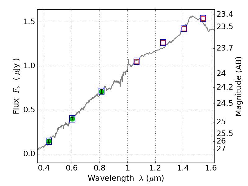
RXC2211-03 ACS+IR detection object #1859

Color images and BPZ results
Catalog: 1859.cat
Black segments are analyzed here.   Roll mouse over color images to view segments.
Best viewed in a wide browser window (1200 pixels or more).   Download SED & P(z) plots to view larger versions.
In P(z) plots: Yellow lines mark the cluster redshift z = 0.397,  

Object #1859   x,y = (3513, 3082)   RA, Dec = (22:11:41.640, -3:49:10.92) = (332.92350, -3.81970)   BPZ = 0.114 [0.049--3.186]   type = 5.70 (Sbc_B10 - ES0_B10)   chisq2 = 0.00   ODDS = 0.26   z_cluster = 0.397