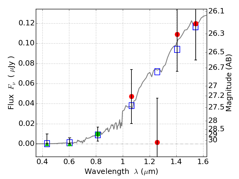
RXC0949+17 IR detection object #61

Color images and BPZ results
Catalog: 61.cat
Black segments are analyzed here.   Roll mouse over color images to view segments.
Best viewed in a wide browser window (1200 pixels or more).   Download SED & P(z) plots to view larger versions.
In P(z) plots: Yellow lines mark the cluster redshift z = 0.383,  

Object #61   x,y = (2057, 3319)   RA, Dec = (09:49:54.624, 17:08:10.68) = (147.47760, 17.13630)   BPZ = 1.499 [1.091--6.428]   type = 2.00 (Ell6_A_0)   chisq2 = 0.40   ODDS = 0.16   z_cluster = 0.383