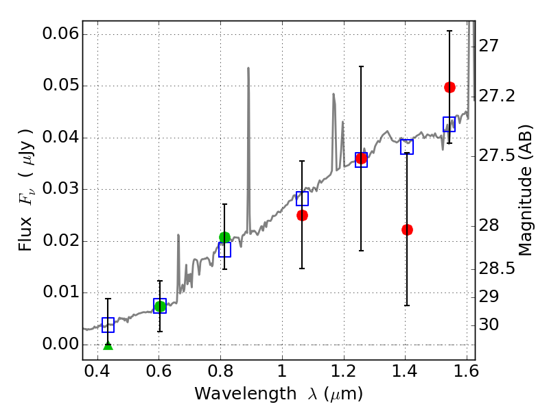
RXC0949+17 IR detection object #526

Color images and BPZ results
Catalog: 526.cat
Black segments are analyzed here.   Roll mouse over color images to view segments.
Best viewed in a wide browser window (1200 pixels or more).   Download SED & P(z) plots to view larger versions.
In P(z) plots: Yellow lines mark the cluster redshift z = 0.383,  

Object #526   x,y = (3318, 2317)   RA, Dec = (09:49:49.368, 17:07:10.20) = (147.45570, 17.11950)   BPZ = 0.778 [0.322--5.182]   type = 6.90 (Scd_B10 - Sbc_B10)   chisq2 = 0.48   ODDS = 0.10   z_cluster = 0.383