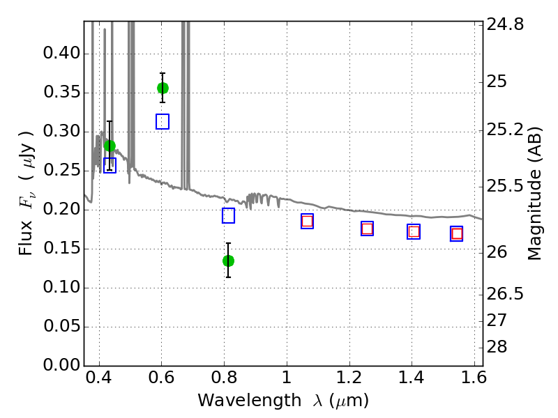
RXC0949+17 ACS+IR detection object #924

Color images and BPZ results
Catalog: 924.cat
Black segments are analyzed here.   Roll mouse over color images to view segments.
Best viewed in a wide browser window (1200 pixels or more).   Download SED & P(z) plots to view larger versions.
In P(z) plots: Yellow lines mark the cluster redshift z = 0.383,  

Object #924   x,y = (4272, 3513)   RA, Dec = (09:49:45.360, 17:08:22.20) = (147.43900, 17.13950)   BPZ = 0.021 [0.010--0.045]   type = 11.00 (SB11_A_0_l)   chisq2 = 9.82   ODDS = 1.00   z_cluster = 0.383