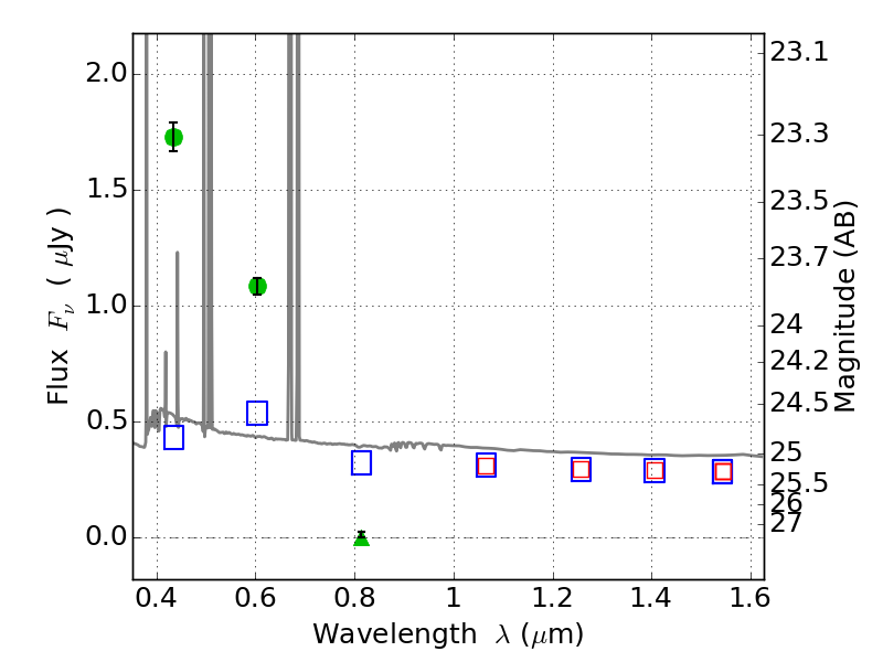
RXC0949+17 ACS+IR detection object #85
Color images and BPZ results
Catalog: 85.cat
Black segments are analyzed here. Roll mouse over color images to view segments.
Best viewed in a wide browser window (1200 pixels or more). Download SED & P(z) plots to view larger versions.
In P(z) plots: Yellow lines mark the cluster redshift z = 0.383,
Object #85 x,y = (3733, 4414) RA, Dec = (09:49:47.616, 17:09:16.20) = (147.44840, 17.15450) BPZ = 0.016 [0.010--0.031] type = 11.00 (SB11_A_0_l) chisq2 = 539.90 ODDS = 1.00 z_cluster = 0.383