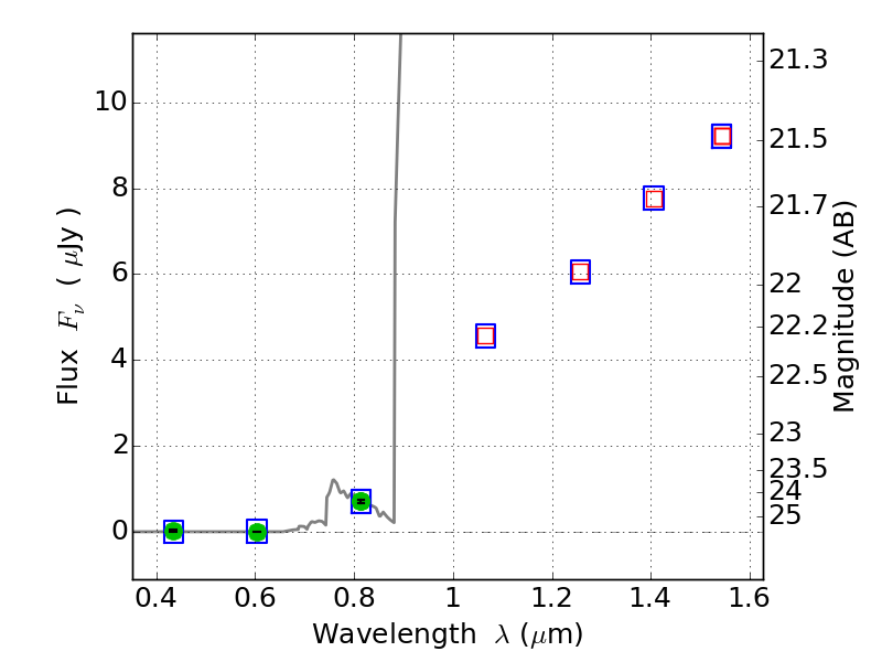
RXC0949+17 ACS+IR detection object #4740

Color images and BPZ results
Catalog: 4740.cat
Black segments are analyzed here.   Roll mouse over color images to view segments.
Best viewed in a wide browser window (1200 pixels or more).   Download SED & P(z) plots to view larger versions.
In P(z) plots: Yellow lines mark the cluster redshift z = 0.383,  

Object #4740   x,y = (1476, 1322)   RA, Dec = (09:49:57.072, 17:06:10.80) = (147.48780, 17.10300)   BPZ = 6.252 [5.897--8.934]   type = 6.00 (Sbc_B10)   chisq2 = 0.00   ODDS = 0.41   z_cluster = 0.383