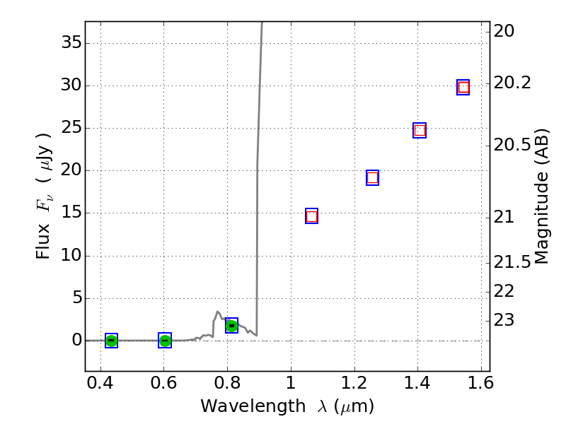
RXC0949+17 ACS+IR detection object #4661

Color images and BPZ results
Catalog: 4661.cat
Black segments are analyzed here.   Roll mouse over color images to view segments.
Best viewed in a wide browser window (1200 pixels or more).   Download SED & P(z) plots to view larger versions.
In P(z) plots: Yellow lines mark the cluster redshift z = 0.383,  

Object #4661   x,y = (1406, 1395)   RA, Dec = (09:49:57.360, 17:06:15.12) = (147.48900, 17.10420)   BPZ = 6.361 [6.047--8.683]   type = 6.00 (Sbc_B10)   chisq2 = 0.00   ODDS = 0.49   z_cluster = 0.383