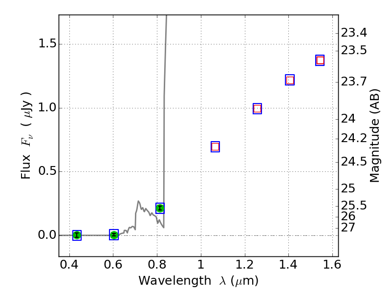
RXC0949+17 ACS+IR detection object #429
Color images and BPZ results
Catalog: 429.cat
Black segments are analyzed here. Roll mouse over color images to view segments.
Best viewed in a wide browser window (1200 pixels or more). Download SED & P(z) plots to view larger versions.
In P(z) plots: Yellow lines mark the cluster redshift z = 0.383,
Object #429 x,y = (4037, 3898) RA, Dec = (09:49:46.344, 17:08:45.24) = (147.44310, 17.14590) BPZ = 5.842 [1.479--8.683] type = 6.00 (Sbc_B10) chisq2 = 0.00 ODDS = 0.22 z_cluster = 0.383