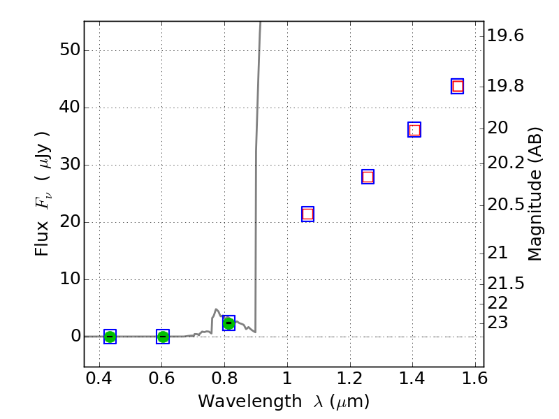
RXC0949+17 ACS+IR detection object #4116

Color images and BPZ results
Catalog: 4116.cat
Black segments are analyzed here.   Roll mouse over color images to view segments.
Best viewed in a wide browser window (1200 pixels or more).   Download SED & P(z) plots to view larger versions.
In P(z) plots: Yellow lines mark the cluster redshift z = 0.383,  

Object #4116   x,y = (1269, 1730)   RA, Dec = (09:49:57.936, 17:06:35.28) = (147.49140, 17.10980)   BPZ = 6.405 [6.138--8.566]   type = 6.00 (Sbc_B10)   chisq2 = 0.00   ODDS = 0.53   z_cluster = 0.383