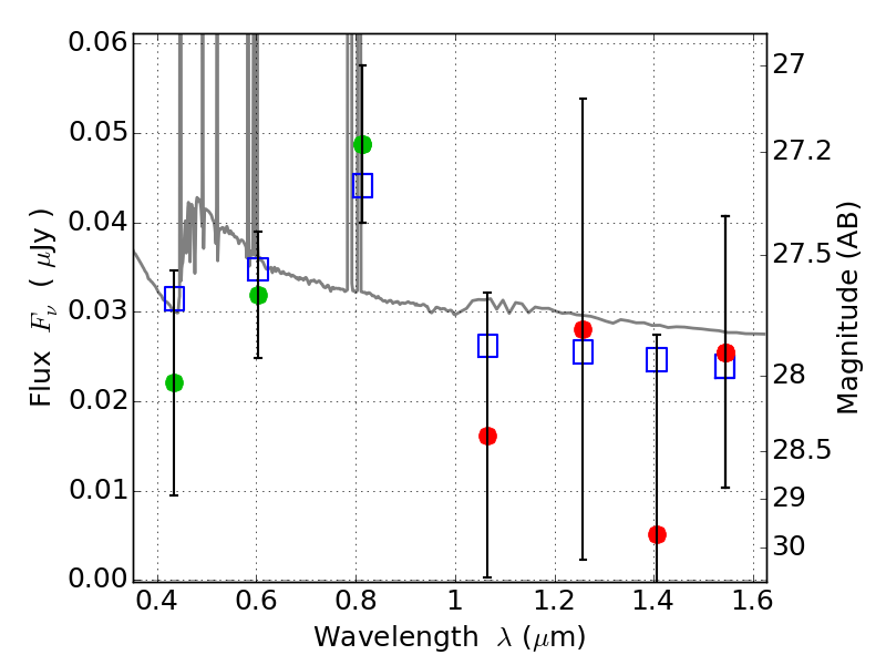
RXC0949+17 ACS+IR detection object #4112

Color images and BPZ results
Catalog: 4112.cat
Black segments are analyzed here.   Roll mouse over color images to view segments.
Best viewed in a wide browser window (1200 pixels or more).   Download SED & P(z) plots to view larger versions.
In P(z) plots: Yellow lines mark the cluster redshift z = 0.383,  

Object #4112   x,y = (1974, 1731)   RA, Dec = (09:49:54.984, 17:06:35.28) = (147.47910, 17.10980)   BPZ = 0.205 [0.097--4.045]   type = 11.00 (SB11_A_0_l)   chisq2 = 0.34   ODDS = 0.24   z_cluster = 0.383