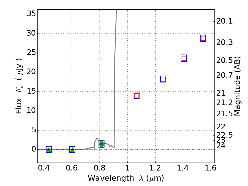
RXC0949+17 ACS+IR detection object #398

Color images and BPZ results
Catalog: 398.cat
Black segments are analyzed here.   Roll mouse over color images to view segments.
Best viewed in a wide browser window (1200 pixels or more).   Download SED & P(z) plots to view larger versions.
In P(z) plots: Yellow lines mark the cluster redshift z = 0.383,  

Object #398   x,y = (4041, 3924)   RA, Dec = (09:49:46.320, 17:08:46.68) = (147.44300, 17.14630)   BPZ = 6.447 [6.053--8.726]   type = 6.00 (Sbc_B10)   chisq2 = 0.00   ODDS = 0.45   z_cluster = 0.383