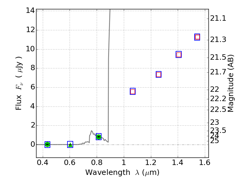
RXC0949+17 ACS+IR detection object #3237

Color images and BPZ results
Catalog: 3237.cat
Black segments are analyzed here.   Roll mouse over color images to view segments.
Best viewed in a wide browser window (1200 pixels or more).   Download SED & P(z) plots to view larger versions.
In P(z) plots: Yellow lines mark the cluster redshift z = 0.383,  

Object #3237   x,y = (5022, 2178)   RA, Dec = (09:49:42.216, 17:07:01.92) = (147.42590, 17.11720)   BPZ = 6.277 [5.900--8.870]   type = 6.00 (Sbc_B10)   chisq2 = 0.00   ODDS = 0.40   z_cluster = 0.383