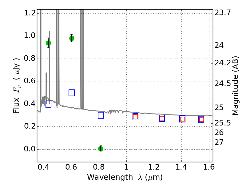
RXC0949+17 ACS+IR detection object #3228

Color images and BPZ results
Catalog: 3228.cat
Black segments are analyzed here.   Roll mouse over color images to view segments.
Best viewed in a wide browser window (1200 pixels or more).   Download SED & P(z) plots to view larger versions.
In P(z) plots: Yellow lines mark the cluster redshift z = 0.383,  

Object #3228   x,y = (5030, 2178)   RA, Dec = (09:49:42.192, 17:07:01.92) = (147.42580, 17.11720)   BPZ = 0.016 [0.010--0.031]   type = 11.00 (SB11_A_0_l)   chisq2 = 305.90   ODDS = 1.00   z_cluster = 0.383