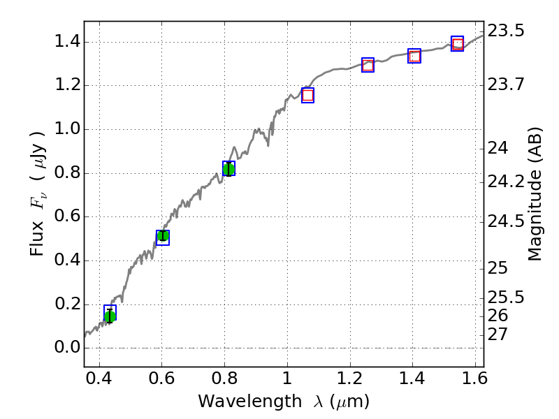
RXC0949+17 ACS+IR detection object #2672

Color images and BPZ results
Catalog: 2672.cat
Black segments are analyzed here.   Roll mouse over color images to view segments.
Best viewed in a wide browser window (1200 pixels or more).   Download SED & P(z) plots to view larger versions.
In P(z) plots: Yellow lines mark the cluster redshift z = 0.383,  

Object #2672   x,y = (1037, 2450)   RA, Dec = (09:49:58.896, 17:07:18.48) = (147.49540, 17.12180)   BPZ = 0.097 [0.046--3.542]   type = 4.00 (Ell4_A_0)   chisq2 = 0.05   ODDS = 0.37   z_cluster = 0.383