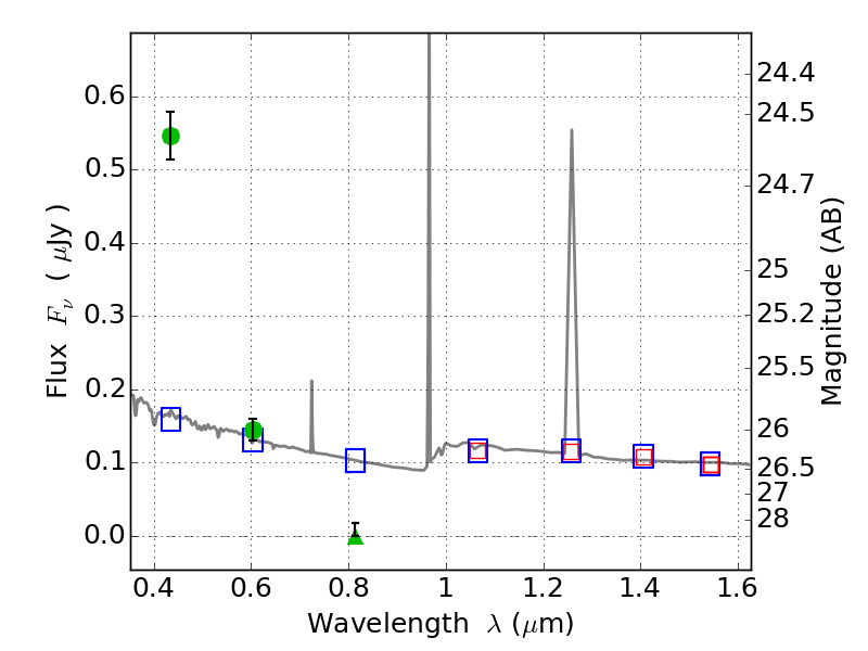
RXC0949+17 ACS+IR detection object #256

Color images and BPZ results
Catalog: 256.cat
Black segments are analyzed here.   Roll mouse over color images to view segments.
Best viewed in a wide browser window (1200 pixels or more).   Download SED & P(z) plots to view larger versions.
In P(z) plots: Yellow lines mark the cluster redshift z = 0.383,  

Object #256   x,y = (3897, 4133)   RA, Dec = (09:49:46.944, 17:08:59.28) = (147.44560, 17.14980)   BPZ = 1.593 [1.436--2.117]   type = 11.00 (SB11_A_0_l)   chisq2 = 177.10   ODDS = 0.52   z_cluster = 0.383