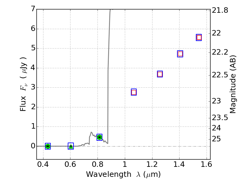
RXC0949+17 ACS+IR detection object #2499

Color images and BPZ results
Catalog: 2499.cat
Black segments are analyzed here.   Roll mouse over color images to view segments.
Best viewed in a wide browser window (1200 pixels or more).   Download SED & P(z) plots to view larger versions.
In P(z) plots: Yellow lines mark the cluster redshift z = 0.383,  

Object #2499   x,y = (4835, 2531)   RA, Dec = (09:49:43.008, 17:07:23.16) = (147.42920, 17.12310)   BPZ = 6.214 [5.784--8.933]   type = 6.00 (Sbc_B10)   chisq2 = 0.00   ODDS = 0.37   z_cluster = 0.383