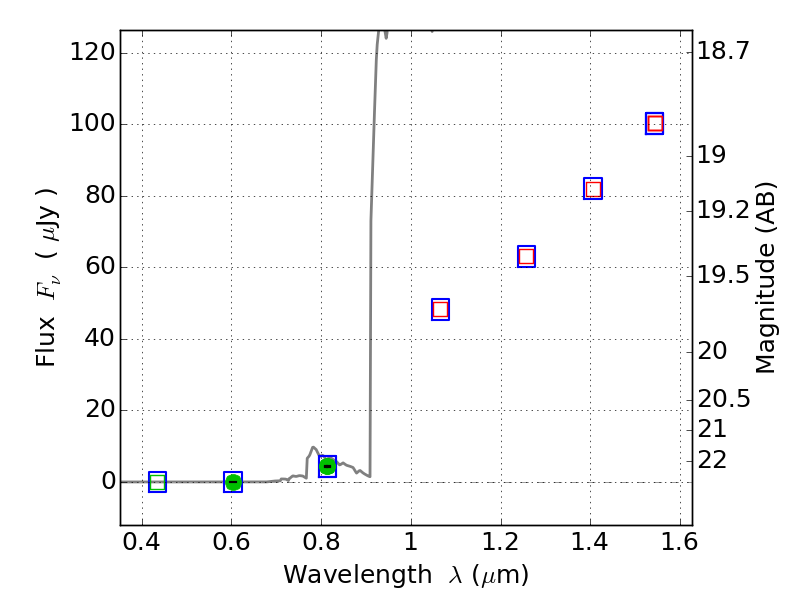
RXC0949+17 ACS+IR detection object #2253

Color images and BPZ results
Catalog: 2253.cat
Black segments are analyzed here.   Roll mouse over color images to view segments.
Best viewed in a wide browser window (1200 pixels or more).   Download SED & P(z) plots to view larger versions.
In P(z) plots: Yellow lines mark the cluster redshift z = 0.383,  

Object #2253   x,y = (692, 2705)   RA, Dec = (09:50:00.360, 17:07:33.60) = (147.50150, 17.12600)   BPZ = 6.479 [6.285--8.289]   type = 6.00 (Sbc_B10)   chisq2 = 0.00   ODDS = 0.57   z_cluster = 0.383