RXC0949+17 ACS+IR detection object #2239

Color images and BPZ results
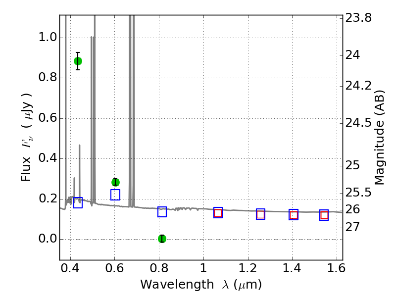
Catalog: 2239.cat
Black segments are analyzed here.   Roll mouse over color images to view segments.
Best viewed in a wide browser window (1200 pixels or more).   Download SED & P(z) plots to view larger versions.
In P(z) plots: Yellow lines mark the cluster redshift z = 0.383,  

Object #2239   x,y = (4706, 2715)   RA, Dec = (09:49:43.560, 17:07:34.32) = (147.43150, 17.12620)   BPZ = 0.019 [0.010--1.883]   type = 11.00 (SB11_A_0_l)   chisq2 = 325.90   ODDS = 0.65   z_cluster = 0.383