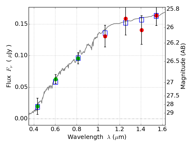
RXC0949+17 ACS+IR detection object #1791

Color images and BPZ results
Catalog: 1791.cat
Black segments are analyzed here.   Roll mouse over color images to view segments.
Best viewed in a wide browser window (1200 pixels or more).   Download SED & P(z) plots to view larger versions.
In P(z) plots: Yellow lines mark the cluster redshift z = 0.383,  

Object #1791   x,y = (2951, 2950)   RA, Dec = (09:49:50.904, 17:07:48.36) = (147.46210, 17.13010)   BPZ = 0.103 [0.047--3.769]   type = 4.00 (Ell4_A_0)   chisq2 = 0.09   ODDS = 0.14   z_cluster = 0.383