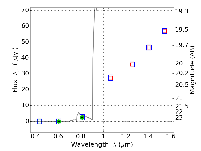
RXC0949+17 ACS+IR detection object #1680

Color images and BPZ results
Catalog: 1680.cat
Black segments are analyzed here.   Roll mouse over color images to view segments.
Best viewed in a wide browser window (1200 pixels or more).   Download SED & P(z) plots to view larger versions.
In P(z) plots: Yellow lines mark the cluster redshift z = 0.383,  

Object #1680   x,y = (518, 3022)   RA, Dec = (09:50:01.080, 17:07:52.68) = (147.50450, 17.13130)   BPZ = 6.472 [6.217--8.573]   type = 6.00 (Sbc_B10)   chisq2 = 0.00   ODDS = 0.50   z_cluster = 0.383