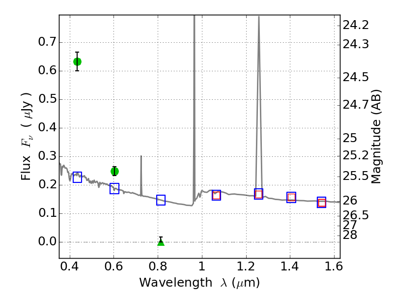
RXC0949+17 ACS+IR detection object #1325

Color images and BPZ results
Catalog: 1325.cat
Black segments are analyzed here.   Roll mouse over color images to view segments.
Best viewed in a wide browser window (1200 pixels or more).   Download SED & P(z) plots to view larger versions.
In P(z) plots: Yellow lines mark the cluster redshift z = 0.383,  

Object #1325   x,y = (4412, 3268)   RA, Dec = (09:49:44.784, 17:08:07.44) = (147.43660, 17.13540)   BPZ = 1.594 [1.493--2.008]   type = 11.00 (SB11_A_0_l)   chisq2 = 209.10   ODDS = 0.71   z_cluster = 0.383