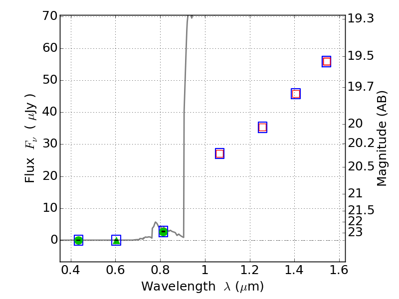
RXC0949+17 ACS+IR detection object #1294

Color images and BPZ results
Catalog: 1294.cat
Black segments are analyzed here.   Roll mouse over color images to view segments.
Best viewed in a wide browser window (1200 pixels or more).   Download SED & P(z) plots to view larger versions.
In P(z) plots: Yellow lines mark the cluster redshift z = 0.383,  

Object #1294   x,y = (4360, 3308)   RA, Dec = (09:49:45.000, 17:08:09.96) = (147.43750, 17.13610)   BPZ = 6.453 [6.117--8.490]   type = 6.00 (Sbc_B10)   chisq2 = 0.00   ODDS = 0.50   z_cluster = 0.383