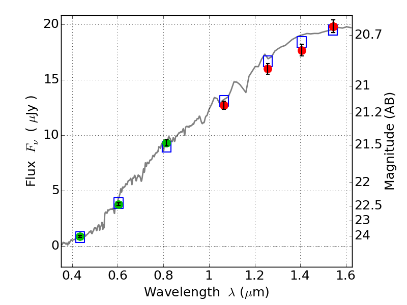
RXC0949+17 ACS+IR detection object #1034

Color images and BPZ results
Catalog: 1034.cat
Black segments are analyzed here.   Roll mouse over color images to view segments.
Best viewed in a wide browser window (1200 pixels or more).   Download SED & P(z) plots to view larger versions.
In P(z) plots: Yellow lines mark the cluster redshift z = 0.383,  

Object #1034   x,y = (2252, 3435)   RA, Dec = (09:49:53.808, 17:08:17.52) = (147.47420, 17.13820)   BPZ = 0.356 [0.312--0.395]   type = 3.40 (Ell5_A_0 - Ell4_A_0)   chisq2 = 0.13   ODDS = 0.99   z_cluster = 0.383