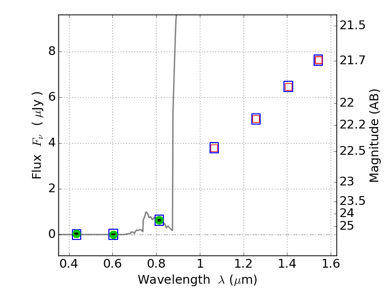
RXC0949+17 ACS+IR detection object #5552

Color images and BPZ results
Catalog: 5552.cat
Black segments are analyzed here.   Roll mouse over color images to view segments.
Best viewed in a wide browser window (1200 pixels or more).   Download SED & P(z) plots to view larger versions.
In P(z) plots: Yellow lines mark the cluster redshift z = 0.383,  

Object #5552   x,y = (1893, 571)   RA, Dec = (09:49:55.320, 17:05:25.44) = (147.48050, 17.09040)   BPZ = 6.215 [5.854--9.104]   type = 6.00 (Sbc_B10)   chisq2 = 0.01   ODDS = 0.40   z_cluster = 0.383