RXC0949+17 ACS+IR detection object #4242

Color images and BPZ results
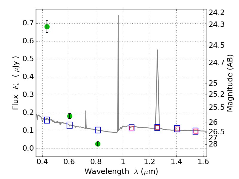
Catalog: 4242.cat
Black segments are analyzed here.   Roll mouse over color images to view segments.
Best viewed in a wide browser window (1200 pixels or more).   Download SED & P(z) plots to view larger versions.
In P(z) plots: Yellow lines mark the cluster redshift z = 0.383,  

Object #4242   x,y = (5266, 1721)   RA, Dec = (09:49:41.208, 17:06:34.56) = (147.42170, 17.10960)   BPZ = 1.594 [1.483--2.052]   type = 11.00 (SB11_A_0_l)   chisq2 = 275.20   ODDS = 0.64   z_cluster = 0.383