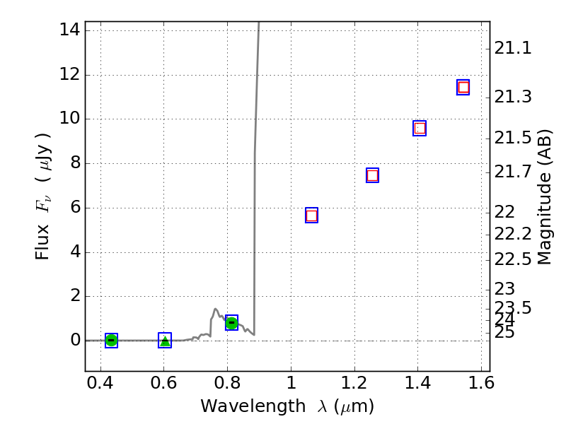
RXC0949+17 ACS+IR detection object #4026

Color images and BPZ results
Catalog: 4026.cat
Black segments are analyzed here.   Roll mouse over color images to view segments.
Best viewed in a wide browser window (1200 pixels or more).   Download SED & P(z) plots to view larger versions.
In P(z) plots: Yellow lines mark the cluster redshift z = 0.383,  

Object #4026   x,y = (5258, 1804)   RA, Dec = (09:49:41.232, 17:06:39.60) = (147.42180, 17.11100)   BPZ = 6.291 [5.926--8.890]   type = 6.00 (Sbc_B10)   chisq2 = 0.00   ODDS = 0.39   z_cluster = 0.383