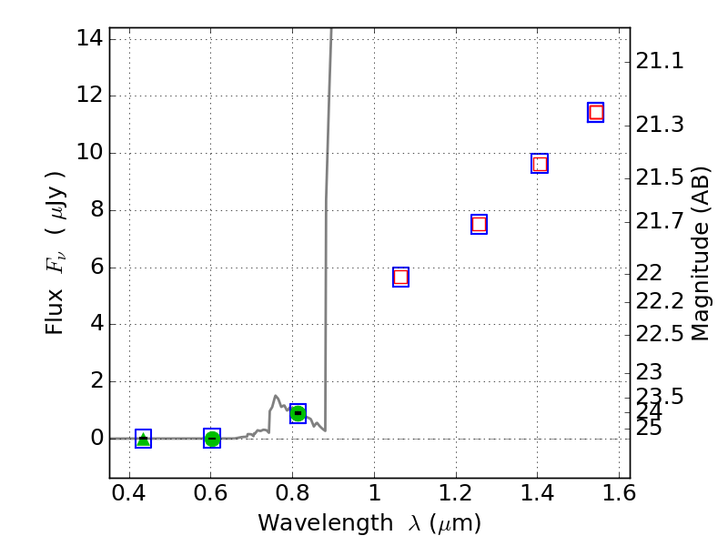
RXC0949+17 ACS+IR detection object #2461

Color images and BPZ results
Catalog: 2461.cat
Black segments are analyzed here.   Roll mouse over color images to view segments.
Best viewed in a wide browser window (1200 pixels or more).   Download SED & P(z) plots to view larger versions.
In P(z) plots: Yellow lines mark the cluster redshift z = 0.383,  

Object #2461   x,y = (4791, 2584)   RA, Dec = (09:49:43.200, 17:07:26.40) = (147.43000, 17.12400)   BPZ = 6.256 [5.892--8.777]   type = 6.00 (Sbc_B10)   chisq2 = 0.00   ODDS = 0.42   z_cluster = 0.383