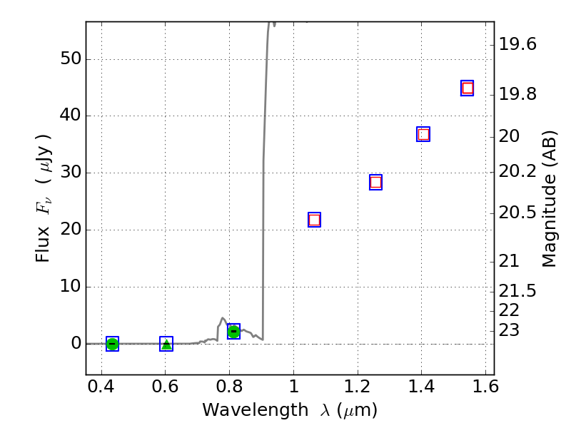
RXC0949+17 ACS+IR detection object #2302

Color images and BPZ results
Catalog: 2302.cat
Black segments are analyzed here.   Roll mouse over color images to view segments.
Best viewed in a wide browser window (1200 pixels or more).   Download SED & P(z) plots to view larger versions.
In P(z) plots: Yellow lines mark the cluster redshift z = 0.383,  

Object #2302   x,y = (4746, 2677)   RA, Dec = (09:49:43.392, 17:07:31.80) = (147.43080, 17.12550)   BPZ = 6.454 [6.114--8.633]   type = 6.00 (Sbc_B10)   chisq2 = 0.00   ODDS = 0.48   z_cluster = 0.383