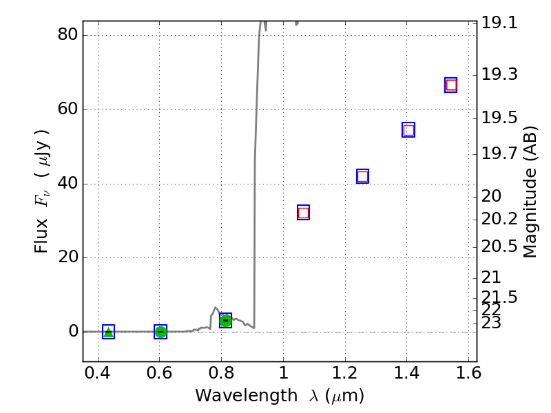
RXC0949+17 ACS+IR detection object #225

Color images and BPZ results
Catalog: 225.cat
Black segments are analyzed here.   Roll mouse over color images to view segments.
Best viewed in a wide browser window (1200 pixels or more).   Download SED & P(z) plots to view larger versions.
In P(z) plots: Yellow lines mark the cluster redshift z = 0.383,  

Object #225   x,y = (3877, 4162)   RA, Dec = (09:49:47.016, 17:09:01.08) = (147.44590, 17.15030)   BPZ = 6.474 [6.212--8.481]   type = 6.00 (Sbc_B10)   chisq2 = 0.00   ODDS = 0.50   z_cluster = 0.383