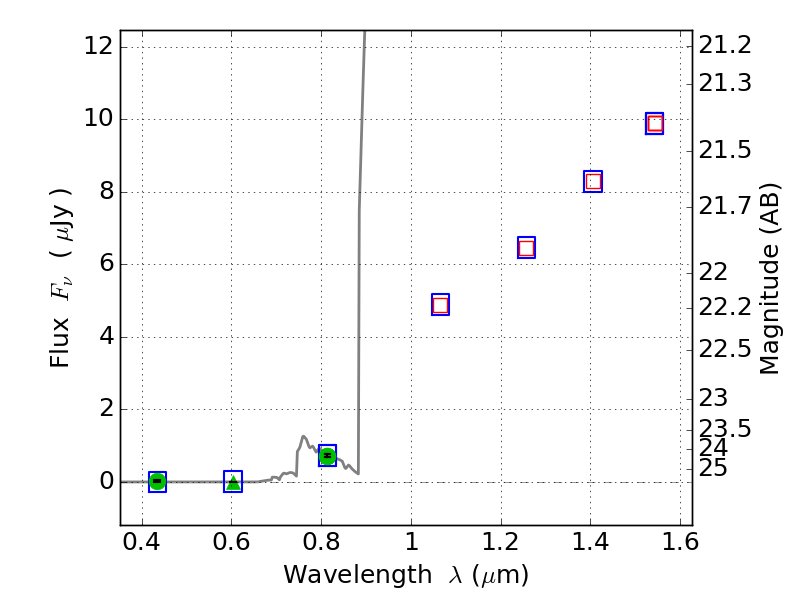
RXC0949+17 ACS+IR detection object #192

Color images and BPZ results
Catalog: 192.cat
Black segments are analyzed here.   Roll mouse over color images to view segments.
Best viewed in a wide browser window (1200 pixels or more).   Download SED & P(z) plots to view larger versions.
In P(z) plots: Yellow lines mark the cluster redshift z = 0.383,  

Object #192   x,y = (3748, 4404)   RA, Dec = (09:49:47.568, 17:09:15.48) = (147.44820, 17.15430)   BPZ = 6.272 [5.870--8.893]   type = 6.00 (Sbc_B10)   chisq2 = 0.00   ODDS = 0.39   z_cluster = 0.383