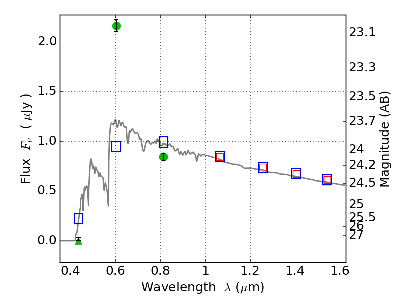
RXC0949+17 ACS+IR detection object #1893

Color images and BPZ results
Catalog: 1893.cat
Black segments are analyzed here.   Roll mouse over color images to view segments.
Best viewed in a wide browser window (1200 pixels or more).   Download SED & P(z) plots to view larger versions.
In P(z) plots: Yellow lines mark the cluster redshift z = 0.383,  

Object #1893   x,y = (4627, 2897)   RA, Dec = (09:49:43.872, 17:07:45.12) = (147.43280, 17.12920)   BPZ = 3.681 [3.640--3.763]   type = 11.00 (SB11_A_0_l)   chisq2 = 190.40   ODDS = 1.00   z_cluster = 0.383