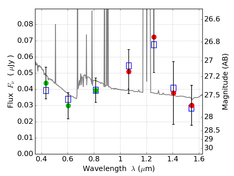
RXC0949+17 ACS+IR detection object #1766

Color images and BPZ results
Catalog: 1766.cat
Black segments are analyzed here.   Roll mouse over color images to view segments.
Best viewed in a wide browser window (1200 pixels or more).   Download SED & P(z) plots to view larger versions.
In P(z) plots: Yellow lines mark the cluster redshift z = 0.383,  

Object #1766   x,y = (4230, 2971)   RA, Dec = (09:49:45.552, 17:07:49.80) = (147.43980, 17.13050)   BPZ = 0.809 [0.389--2.421]   type = 10.90 (SB11_A_0_l - SB3_B10)   chisq2 = 0.08   ODDS = 0.22   z_cluster = 0.383