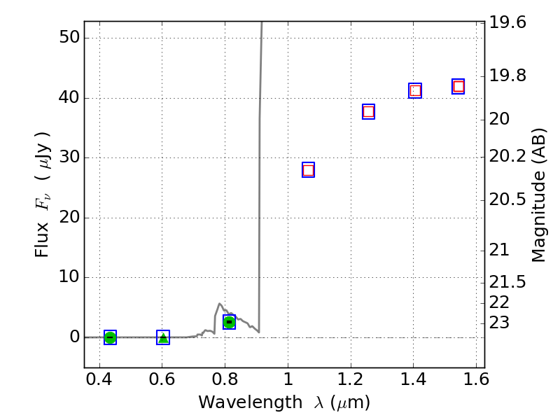
RXC0949+17 ACS+IR detection object #1643

Color images and BPZ results
Catalog: 1643.cat
Black segments are analyzed here.   Roll mouse over color images to view segments.
Best viewed in a wide browser window (1200 pixels or more).   Download SED & P(z) plots to view larger versions.
In P(z) plots: Yellow lines mark the cluster redshift z = 0.383,  

Object #1643   x,y = (4553, 3044)   RA, Dec = (09:49:44.184, 17:07:54.12) = (147.43410, 17.13170)   BPZ = 6.490 [6.240--8.629]   type = 7.00 (Scd_B10)   chisq2 = 0.00   ODDS = 0.48   z_cluster = 0.383