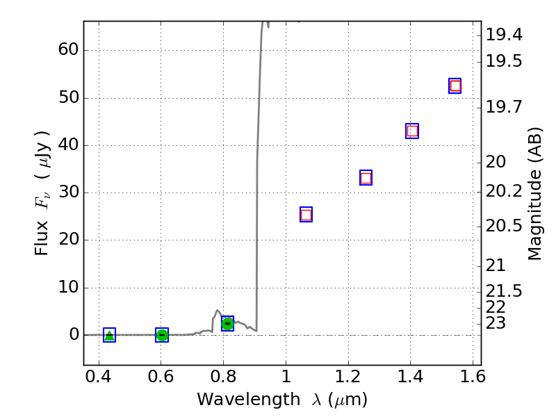
RXC0949+17 ACS+IR detection object #1642

Color images and BPZ results
Catalog: 1642.cat
Black segments are analyzed here.   Roll mouse over color images to view segments.
Best viewed in a wide browser window (1200 pixels or more).   Download SED & P(z) plots to view larger versions.
In P(z) plots: Yellow lines mark the cluster redshift z = 0.383,  

Object #1642   x,y = (4553, 3039)   RA, Dec = (09:49:44.184, 17:07:53.76) = (147.43410, 17.13160)   BPZ = 6.466 [6.170--8.583]   type = 6.00 (Sbc_B10)   chisq2 = 0.00   ODDS = 0.49   z_cluster = 0.383