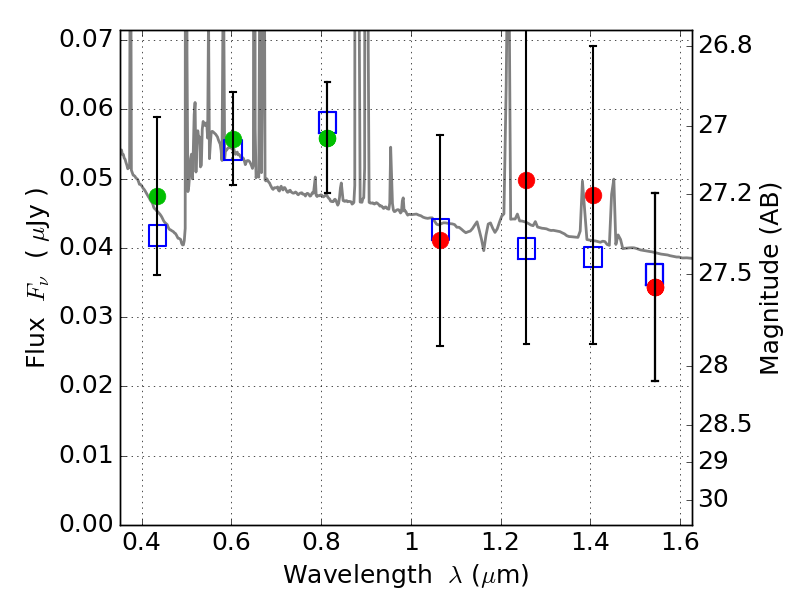
RXC0949+17 ACS+IR detection object #1376

Color images and BPZ results
Catalog: 1376.cat
Black segments are analyzed here.   Roll mouse over color images to view segments.
Best viewed in a wide browser window (1200 pixels or more).   Download SED & P(z) plots to view larger versions.
In P(z) plots: Yellow lines mark the cluster redshift z = 0.383,  

Object #1376   x,y = (2186, 3235)   RA, Dec = (09:49:54.096, 17:08:05.28) = (147.47540, 17.13480)   BPZ = 0.345 [0.087--3.343]   type = 10.80 (SB11_A_0_l - SB3_B10)   chisq2 = 0.11   ODDS = 0.25   z_cluster = 0.383