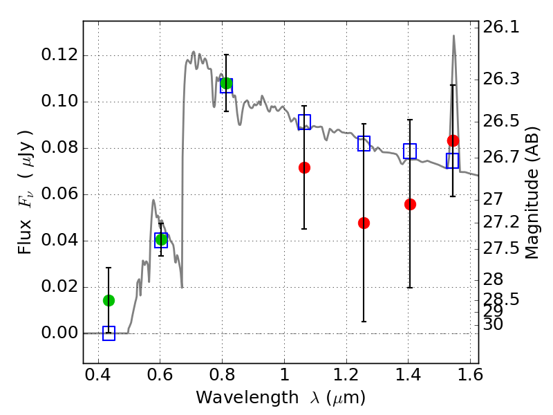
RXC0949+17 ACS+IR detection object #1045

Color images and BPZ results
Catalog: 1045.cat
Black segments are analyzed here.   Roll mouse over color images to view segments.
Best viewed in a wide browser window (1200 pixels or more).   Download SED & P(z) plots to view larger versions.
In P(z) plots: Yellow lines mark the cluster redshift z = 0.383,  

Object #1045   x,y = (2233, 3541)   RA, Dec = (09:49:53.904, 17:08:23.64) = (147.47460, 17.13990)   BPZ = 4.530 [4.242--4.715]   type = 10.80 (SB11_A_0_l - SB3_B10)   chisq2 = 0.39   ODDS = 0.93   z_cluster = 0.383